
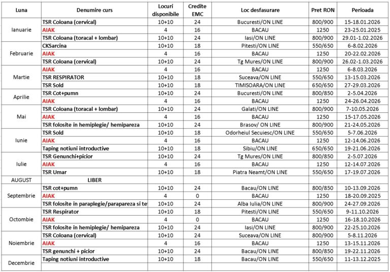
PROGRAM CURSURI 2026
Inscrierile efectuate pana pe 15.12.2025 beneficiaza de 10% reducere “EARLY BOOKING” AIAK – ABORDARI PRACTICE INTERDISCIPLINARE PENTRU AFECTIUNI KINETICE. Acesta va fi supus creditarii CFZRO in luna decembrie 2026 si va fi disponibil 1 data in lunile mentionate cu 4 locuri. Activitatea se va desfasura DOAR cu prezenta fizica si se va intinde pe cel


